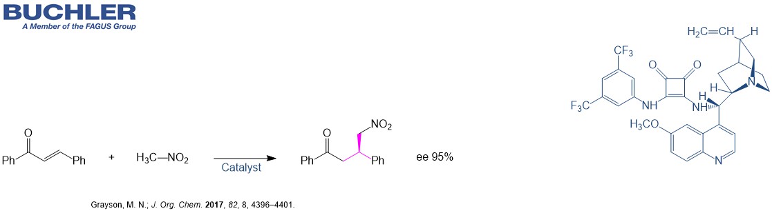
Mechanism and Origins of Stereoselectivity in the Cinchona Thiourea- and Squaramide-Catalyzed Asymmetric Michael Addition of Nitroalkanes to Enones.

DOI Number:
10.1021/acs.joc.7b00521
Reaction Category:
RXNO ID:
RXNO_0000009
Educt:
(E)-chalcone, nitromethane
Product:
(R)-4-nitro-1,3-diphenylbutan-1-one
Catalyst:
3-[[3,5-bis(trifluoromethyl)phenyl]amino]-4- [[(8α,9S)-6′-methoxycinchonan-9-yl]amino]- 3-Cyclobutene-1,2-dione
Cas No:
1256245-84-7
Associated Product from Buchler GmbH:
3-[[3,5-bis(trifluoromethyl)phenyl]amino]-4-[[(8α,9S)-6′-methoxycinchonan-9-yl]amino]-3-Cyclobutene-1,2-dione
Cas No:
1256245-84-7