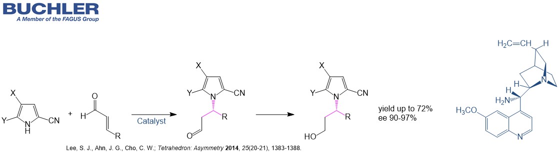
Cinchona-based primary amine-catalyzed enantioselective aza-Michael reactions of pyrroles with α,β-unsaturated aldehydes.

DOI Number:
10.1016/j.tetasy.2014.09.002
Reaction Category:
RXNO ID:
RXNO_0000009
Educt:
4,5-dihalo-1H-pyrrole-2-carbonitriles, α,β-unsaturated aldehydes
Product:
4,5-dihalo-1-(1-substituted-3-hydroxypropyl)-1H-pyrrole-2-carbonitrile
Catalyst:
(8α,9S)-6′-Methoxycinchonan-9-amine
Cas No:
168960-95-0
Associated Product from Buchler GmbH:
Quinine Base
Cas No:
130-95-0